求和计算器
首页
保存到桌面
手气不错
意见/报错
256查询网
首页
>
求和计算器
求和计算器
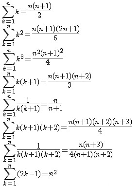
选择所求和形式 (K)
k
k^2
k^3
2k-1
k(k+1)
1 / k(k+1)
k(k+1)(k+2)
1 / k(k+1)(k+2)
想求和的项数(n)
结果( ∑ )
关于求和计算器
推荐工具
双阶乘计算器
取模运算计算器
伯努利不等式计算
流量计算器
多普勒雷达计算器
国债收益计算器
糖尿病计算器
求和计算器
涂料计算器
滞纳金计算器
营业税计算器
在线闹钟
绝对值计算器
北京时间
世界时间
电容单位计算器
区号查询
邮编查询
车牌查询
话费查询
货币汇率兑换
公历农历转换
二十四节气查询
汽车油耗计算
电费计算器
日期差计算
未来时间查询
壁纸计算器
诉讼费计算器
交集计算器
地板计算器
窗帘计算器
助学贷款计算器
鱼缸计算器
泊松分布计算器
地砖计算器
墙砖计算器
百分比计算器
升降旗时间
在线倒计时
提前还款计算器
计数器
随机推荐查询工具
24点计算器
贷款计算器
电费计算器
在线钢琴
阶乘计算器
五笔编码查询
诗词大全
百家姓
周公解梦
成语大全
歇后语
汉语辞海
汉语词典
新华字典
话费查询
邮编查询
区号查询
在线计算器
个税计算器
体积容积换算
网页编辑器
MD5在线加密
国家域名缩写
JS代码压缩
HTML/JS互转
狗年龄计算
猫年龄计算
Copyright © 2026
256查询网
All Rights Reserved
了解更多关于
Copyright © 2026 www.256cha.com All Rights Reserved
256查询网
赣ICP备18009369号-6
本站部分资料来自网络,如有侵权请速与我们联系删除